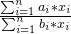
0/1分数规划模型是指,给定整数
和
,求一组解
使得下列式子最大化:
.
我们最优解是L,即
,也就是
.
我们令
,做出函数图像

不同的直线,对于不同的选择方案,与此同时,直线横截距就是答案,我们要求出最大的横截距.

我们可以随机产生一组答案,然后判断此时
是否大于0,如果大于0,那么根据图像,我们得把解增大,如果小于0我们得把解变小,如果等于0,则无法判断.
这个过程可以通过二分实现.
那么我们怎么求
呢?具体的方式看题目,接下来,我们将会解决两道题目来熟悉这个知识点.
例题一:AcWing361 题目传送门

思路:
我们要求
的最大值,a是点权,b是边权,我们二分mid,
时,答案需要调大一点,
时,答案需要调小一些,后面的式子可以转化为
,此时我们把点权转到边权上,边权为a_i - b_i * mid,此时跑spfa判断有没有负环即可.
代码:
- #include
- #define int long long
- #define IOS ios::sync_with_stdio(false), cin.tie(0)
- #define ll long long
- #define double long double
- #define ull unsigned long long
- #define PII pair
- #define PDI pair
- #define PDD pair
- #define debug(a) cout << #a << " = " << a << endl
- #define point(n) cout << fixed << setprecision(n)
- #define all(x) (x).begin(), (x).end()
- #define mem(x, y) memset((x), (y), sizeof(x))
- #define lbt(x) (x & (-x))
- #define SZ(x) ((x).size())
- #define inf 0x3f3f3f3f
- #define INF 0x3f3f3f3f3f3f3f3f
- namespace nqio{const unsigned R = 4e5, W = 4e5; char *a, *b, i[R], o[W], *c = o, *d = o + W, h[40], *p = h, y; bool s; struct q{void r(char &x){x = a == b && (b = (a = i) + fread(i, 1, R, stdin), a == b) ? -1 : *a++;} void f(){fwrite(o, 1, c - o, stdout); c = o;} ~q(){f();}void w(char x){*c = x;if (++c == d) f();} q &operator >>(char &x){do r(x);while (x <= 32); return *this;} q &operator >>(char *x){do r(*x); while (*x <= 32); while (*x > 32) r(*++x); *x = 0; return *this;} template<typename t> q&operator>>(t &x){for (r(y),s = 0; !isdigit(y); r(y)) s |= y == 45;if (s) for (x = 0; isdigit(y); r(y)) x = x * 10 - (y ^ 48); else for (x = 0; isdigit(y); r(y)) x = x * 10 + (y ^ 48); return *this;} q &operator <<(char x){w(x);return *this;}q &operator<< (char *x){while (*x) w(*x++); return *this;}q &operator <<(const char *x){while (*x) w(*x++); return *this;}template<typename t> q &operator<< (t x) {if (!x) w(48); else if (x < 0) for (w(45); x; x /= 10) *p++ = 48 | -(x % 10); else for (; x; x /= 10) *p++ = 48 | x % 10; while (p != h) w(*--p);return *this;}}qio; }using nqio::qio;
- using namespace std;
- const int N = 1010, M = 2e6 + 10;
- const double eps = 1e-5;
- int n, m, cnt[N], h[N], v[M], to[M], tot;
- double w[M], f[N], dis[N];
- bool vis[N];
- void add(int a, int b, double c) {
- w[++tot] = c, v[tot] = b, to[tot] = h[a], h[a] = tot;
- }
- bool check(double t) {
- queue<int> q;
- for (int i = 1; i <= n; ++i) dis[i] = 0, cnt[i] = 0, vis[i] = 0, q.emplace(i);
- while (q.size()) {
- int x = q.front(); q.pop();
- vis[x] = 0;
- for (int i = h[x]; i; i = to[i]) {
- int y = v[i];
- double z = t * w[i] - f[x];
- if (dis[y] > dis[x] + z) {
- dis[y] = dis[x] + z;
- cnt[y] = cnt[x] + 1;
- if (cnt[y] >= n) return true;
- if (!vis[y]) q.emplace(y), vis[y] = 1;
- }
- }
- }
- return false;
- }
- signed main() {
- IOS;
- point(2);
- cin >> n >> m;
- for (int i = 1; i <= n; ++i) cin >> f[i];
- for (int i = 1; i <= m; ++i) {
- int a, b;
- double c;
- cin >> a >> b >> c;
- add(a, b, c);
- }
- double l = 0, r = 1e9;
- while (r - l > eps) {
- double mid = (l + r) / 2.0;
- if (check(mid)) l = mid;
- else r = mid;
- }
- cout << l << "\n";
- }
例题二.AcWing348 题目传送门

思路:
二分答案,然后建新图,边权为比率,然后跑最小生成树即可.
代码:
- #include
- #define int long long
- #define IOS ios::sync_with_stdio(false), cin.tie(0)
- #define ll long long
- // #define double long double
- #define ull unsigned long long
- #define PII pair
- #define PDI pair
- #define PDD pair
- #define debug(a) cout << #a << " = " << a << endl
- #define point(n) cout << fixed << setprecision(n)
- #define all(x) (x).begin(), (x).end()
- #define mem(x, y) memset((x), (y), sizeof(x))
- #define lbt(x) (x & (-x))
- #define SZ(x) ((x).size())
- #define inf 0x3f3f3f3f
- #define INF 0x3f3f3f3f3f3f3f3f
- namespace nqio{const unsigned R = 4e5, W = 4e5; char *a, *b, i[R], o[W], *c = o, *d = o + W, h[40], *p = h, y; bool s; struct q{void r(char &x){x = a == b && (b = (a = i) + fread(i, 1, R, stdin), a == b) ? -1 : *a++;} void f(){fwrite(o, 1, c - o, stdout); c = o;} ~q(){f();}void w(char x){*c = x;if (++c == d) f();} q &operator >>(char &x){do r(x);while (x <= 32); return *this;} q &operator >>(char *x){do r(*x); while (*x <= 32); while (*x > 32) r(*++x); *x = 0; return *this;} template<typename t> q&operator>>(t &x){for (r(y),s = 0; !isdigit(y); r(y)) s |= y == 45;if (s) for (x = 0; isdigit(y); r(y)) x = x * 10 - (y ^ 48); else for (x = 0; isdigit(y); r(y)) x = x * 10 + (y ^ 48); return *this;} q &operator <<(char x){w(x);return *this;}q &operator<< (char *x){while (*x) w(*x++); return *this;}q &operator <<(const char *x){while (*x) w(*x++); return *this;}template<typename t> q &operator<< (t x) {if (!x) w(48); else if (x < 0) for (w(45); x; x /= 10) *p++ = 48 | -(x % 10); else for (; x; x /= 10) *p++ = 48 | x % 10; while (p != h) w(*--p);return *this;}}qio; }using nqio::qio;
- using namespace std;
- const int N = 2e6 + 10, M = 1010;
- const double eps = 1e-6;
- int n;
- double x[N], y[N], z[N], w[M][M], dis[N];
- bool vis[N];
- double calc(int a, int b) {
- return sqrt((x[a] - x[b]) * (x[a] - x[b]) + (y[a] - y[b]) * (y[a] - y[b]));
- }
- bool check(double x) {
- for (int i = 1; i <= n; ++i)
- for (int j = i + 1; j <= n; ++j)
- w[i][j] = w[j][i] = abs(z[i] - z[j]) - x * calc(i, j);
- for (int i = 1; i <= n; ++i) dis[i] = 1e18, vis[i] = 0;
- dis[1] = 0;
- for (int i = 1; i < n; ++i) {
- int x = 0;
- for (int j = 1; j <= n; ++j)
- if (!vis[j] && (x == 0 || dis[j] < dis[x])) x = j;
- vis[x] = 1;
- for (int y = 1; y <= n; ++y)
- if (!vis[y]) dis[y] = min(dis[y], w[x][y]);
- }
- double ans = 0;
- for (int i = 2; i <= n; ++i) ans += dis[i];
- return ans >= 0;
- }
- signed main() {
- IOS;
- point(3);
- while (cin >> n, n) {
- for (int i = 1; i <= n; ++i) cin >> x[i] >> y[i] >> z[i];
- double l = 0, r = 1000000000.0;
- while (r - l > eps) {
- double mid = (l + r) / 2.0;
- if (check(mid)) l = mid;
- else r = mid;
- }
- cout << l << "\n";
- }
- }