什么是欧拉函数?
在数论,对正整数 n,欧拉函数是小于 n 的正整数中与 n 互质的数的数目

怎么求欧拉函数?
下面给出求欧拉函数的公式,N 分解质因数的结果为 p1^α1 × p2^α2 × . . . × pk^αk,求一个数的欧拉函数需要先对它分解质因数,那么欧拉函数 φ(N) 的结果如下

基于算术基本定理,对于一个整数 N 分解质因数的结果为 p1^α1 * p2^α2 * . . . * pk^αk

下面给出公式推导,运用容斥原理证明
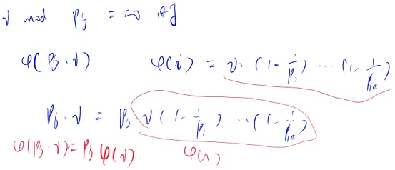
怎么求 1 ~ n 中和 n 互质的数的个数?n 分解质因数后的结果,也就是 n 的质因子只有 p1、p2. . .pk

如果一个数是 p1 的倍数,也是 p2 的倍数,被去掉两次,但是它只能被去掉一次,所以需要把多去掉的一次加回来,加上所有 pi × pj 的倍数,也就是所有两个质数的组合( i 和 j 从 1 ~ k 中任选两个数 )
如果一个数是 p1、p2、p3 的倍数,会先被 p1 减一次,再被 p2 减一次,再被 p3 减一次,减了 3 次,然后被 p1 × p2 加一次,被 p1 × p3 加一次,被 p2 × p3 加一次,加上 3 次,实际上需要把它去掉



时间复杂度分析
瓶颈在分解质因数上,时间复杂度为 O( √ n )
题目一共有 n 个数,时间复杂度为 O( n √ ai ),O( 100 × 4 w ) = O( 400 w )

- #include <iostream>
- #include <algorithm>
-
- using namespace std;
-
- int main()
- {
- int n;
- cin >> n;
- while(n --)
- {
- int a;
- cin >> a;
- //答案
- int res = a;
- //分解质因数
- for(int i = 2;i <= a / i;i++ )
- //如果 a 能整除 i 说明 i 是 a 的质因子
- if(a % i == 0)
- {
- //欧拉函数
- res = res / i * (i - 1); /* res * (1 - 1 / a) -> res / a * (a - 1) */
- while(a % i == 0) a /= i;
- }
- //a有一个大的质因子
- if(a > 1) res = res / a * (a - 1);
- cout << res << endl;
- }
- return 0;
- }

上一题是求某一个数的欧拉函数,这一题是求 1 ~ n 每一个数的欧拉函数,如果按照上一题的做法需要把每一个数分解质因数,时间复杂度比较高 O( n √ n ),使用线性筛求素数的方法,可以用 O( n ) 的时间复杂度计算出每一个数的欧拉函数
数论 --- 朴素筛法、埃氏筛法、线性筛法_小雪菜本菜的博客-CSDN博客
如果一个数 p 是质数,它的欧拉函数是多少?
欧拉函数的定义:在 1 ~ p 中有多少个数和 p 互质,显然 1 ~ p - 1 都是和 p 互质的,所以一个质数 p 的欧拉函数就是 p - 1
如果 i mod pj = 0,primes[ j ] * i 的欧拉函数是多少?
如果 i mod pj = 0,说明 pj 是 i 的质因子,所以在求 φ( i ) 的过程中就已经乘过 1 - 1 / pj
求欧拉函数的过程中,只要包含一个质因子 pi,就要乘上 1 - 1 / pi,与质因子的次数无关,只要出现过就要乘上 1 - 1 / pi

i 的所有质因子是 p1 ~ pk,φ( pj × i ) 分解质因数后的结果只是比 φ( i ) 多乘一项 pj 而已,由于 pj 是 i 的质因子,所以在φ( i ) 的表达式里面就已经乘过 1 - 1 / pj,pj × i 的所有质因子都是在 i 中出现过的

如果 i mod pj ≠ 0,说明 pj 是 i × pj 的最小质因子,而且 pj 不包含在 i 的质因子当中

- #include <iostream>
- #include <algorithm>
-
- using namespace std;
-
- const int N = 1000010;
-
- //和可能会爆int 时间复杂度为n^2
- typedef long long LL;
-
- int n;
-
- //存储每一个质数 质数的下标
- int prime[N], cnt;
-
- //st 表示每个数是否已经被筛掉
- bool st[N];
-
- //欧拉函数
- int phi[N];
-
- //求欧拉函数
- LL get_eulers(int n)
- {
- //特殊规定 φ(1) = 1,1 ~ 1 中与 1 互质的个数只有 1
- phi[1] = 1;
- //线性筛法 i 从 2 开始枚举
- for(int i = 2;i <= n;i++ )
- {
- //如果当前数没有被筛过 说明当前 i 是一个质数
- if(!st[i])
- {
- primes[cnt ++] = i;
- //如果一个数是质数 它的欧拉函数如下
- phi[i] = i - 1;
- }
- for(int j = 0;primes[j] <= n / i;j++ )
- {
- st[primes[j] * i] = true;
- //这种情况下 primes[j] * i 的欧拉函数是多少?
- if(i % primes[j] == 0)
- {
- phi[primes[j] * i] = phi[i] * primes[j]; /* primes[j] * phi[i] */
- break;
- }
- //if(i % primes[j] != 0)
- //整理成类似的形式
- phi[primes[j] * i] = phi[i] * (primes[j] - 1);
- }
- }
- //计算总和
- LL res = 0;
- for(int i = 1;i <= n;i++ ) res += phi[i];
- return res;
- }
-
- int main()
- {
- int n;
- cin >> n;
- //求 1 ~ n 当中每一个数的欧拉函数的和
- cout << get_eulers(n) << endl;
-
- return 0;
- }
如果正整数 a 与 n 互质(最大公约数为 1),则 a^φ( n ) 模 n 余 1

假设 1 - n 当中所有和 a 互质的数为 a1、a2 . . . aφ(n),由于 a 和 n 互质,所以 a × a1、a × a2 . . . a × aφ(n) 每一个数也是和 n 互质的,因为 a 和 n 互质,每一个 ai 都和 n 互质,而且这 φ(n) 个数两两不同,推导出它们的数其实是相同的,只是顺序不一样




a 与 n 互质(最大公约数为 1),3 与 10 互质,7 与 10 互质
3^4 等于 81,模 10 余 1,7^4 等于 2401,模 10 余 1

当 n 比较大的时候不好处理 φ( n ),这时我们可以运用公式
φ( n ) 等于 n 乘上从 1 到 n 之间所有质因数 p 构成的 1 - 1 / p 的乘积

这个什么意思呢?下面举一个例子
先对 1000 做质因数分解,也就是分解成质数的乘积,等于 2^3 × 5^3,所以质因数只有 2 和 5,也就是 p 只能取 2 和 5
φ(1000) = 1000 × (1 - 1 / 2) × (1 - 1 / 5) = 400

如果 n 是一个质数 p,φ( p ) 等于多少呢?
在小于质数 p 的正整数中,每一个数都和它互质,所以总个数就是 p - 1
如果正整数 a 和 p 互质,那么 a^p-1 模 p 余 1,也就是费马小定理,所以其实费马小定理就是欧拉定理的一个特例
接下来证明欧拉定理
假设选取一个数 n,在小于 n 的正整数中和 n 互质的数个数为 φ(n) 个,记作 b1、b2、. . . 、bφ( n )
再取一个和 n 互质的正整数 a,然后分别乘上 b1、b2、. . . 、bφ( n ),很明显这些数还是会与 n 互质,其中会不会有两个数的同余是一样的呢?
由于 n 和 a 是互质的,也就是 n 只能整除 bi - bj, bi 和 bj 的范围是 (1,n - 1),也就是 bi 只能等于 bj,也就是一个数,说明这些数模 n 之后是不同的,或者说这些数模 n 之后是 b1、b2、. . . 、bφ( n ) 的重新排列

由于两边的数都是和 n 互质的,得到 a^φ( n ) 模 n 余 1,得证欧拉定理

把 n 分解质因数,e1 - ek 是对应的次数,1000 = 2^3 × 5^3,也就是 p1 等于 2,p2 等于 5
假设 n 只含有一个质因数,也就是 n = p1^e1,φ(n) 其实就是 1 ~ n 里面和 n 互质的数的个数,反过来考虑,和 n 不互质就说明含有相同的质因数,既然 n 只有一个质因数,所以只要是 p1 的倍数都会和 n 不互质,这样的数有几个呢?总共有 n 个数,只要用总数除以 p1,就可以得到 p1 的倍数的个数有几个,这些数都与 n 不互质,包括 n 自己,所以和 n 互质的个数就是 n 减去这些数,很明显,它是符合 φ(n) 的形式的
拓展一下,如果此时 n 有两个质因数,那么从 1 ~ n 之间和 n 互质的数有多少个呢?与上面一样,其实就是要找出这些数当中是 p1 的倍数或者是 p2 的倍数但是当中有些数同时是 p1 和 p2 的倍数,这些数在统计的时候计算了两次,需要去掉一次
