😣 太难了,好像懂了,又好像没懂,梳理一下。

模拟环路滤波器分别有RC积分滤波器、无源比例积分滤波器、有源比例积分滤波器。

上图为有源比例积分滤波器,固有频率
ω
n
\omega_n
ωn和阻尼系数
ξ
\xi
ξ,
ω
n
\omega_n
ωn为
ξ
=
0
\xi=0
ξ=0时的振荡频率。
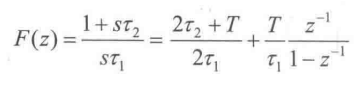
τ
1
=
R
1
C
\tau _1=R_1C
τ1=R1C,
τ
2
=
R
2
C
\tau _2=R_2C
τ2=R2C ,则环路滤波器的传输函数为

理想二阶锁相环路的传输模型为 ,其中
K
K
K为环路增益。

令

将其带入
H
(
s
)
H(s)
H(s),可得

双线性变换公式为
s
=
2
T
1
−
z
−
1
1
+
z
−
1
s=\frac{2}{T}\frac{1-z^{-1}}{1+z^{-1}}
s=T21+z−11−z−1
z
=
1
+
T
2
s
1
−
T
2
s
z=\frac{1+\frac{T}{2}s}{1-\frac{T}{2}s}
z=1−2Ts1+2Ts
则对于理想环路积分滤波器,其数字化系统函数为

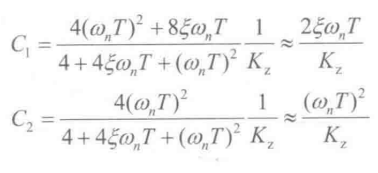
令C1、C2为
C
1
=
2
τ
2
+
T
2
τ
1
C_1=\frac{2\tau_2+T}{2\tau_1}
C1=2τ12τ2+T
C
2
=
T
τ
1
C_2=\frac{T}{\tau_1}
C2=τ1T
则

其系统结构为

滤波器3dB截止频率与时间参数的关系关系为

模拟设计方法,若已知环路增益
K
K
K、 阻尼系数
ξ
\xi
ξ(常取为0.707) ,取定3dB截止频率
f
c
f_c
fc,即可计算出
C
1
C_1
C1、
C
2
C_2
C2。根据
C
1
C_1
C1、
C
2
C_2
C2的值,在用Verilog实现时,可近似为移位运算。
数字设计方法,利用如下公式,其中
K
z
K_z
Kz为环路相位增益,
T
T
T为系统采样周期。

以DPSK为例,码速率4MHz,采样频率32MHz,载波频率70MHz。
1.根据环路跟踪状态计算 ω n \omega_n ωn范围
码速率
p
s
=
4
p_s=4
ps=4MHz,滚降系数
α
=
0.8
\alpha=0.8
α=0.8,则最高频率
f
m
=
p
s
2
+
α
⋅
p
s
2
f_m=\frac{p_s}{2}+\alpha \cdot \frac{p_s}{2}
fm=2ps+α⋅2psMHz。
ω
c
\omega_c
ωc需远小于3.6MHz,由

则
ω
n
<
<
1.75
M
H
z
=
11
M
r
a
d
/
s
\omega_n<<1.75MHz=11Mrad/s
ωn<<1.75MHz=11Mrad/s
2.根据环路失锁门限计算
ω
n
\omega_n
ωn范围
环路带宽
B
L
B_L
BL小于7.2MHz,
根据方法1和方法2,
ω
n
\omega_n
ωn通常至少取最大值的1/10,则环路快捕带为

如何计算环路增益
K
z
=
K
o
⋅
K
d
K_z=K_o\cdot K_d
Kz=Ko⋅Kd,其通常设计为接近于1的值,其中
K
o
K_o
Ko为NCO的增益,
K
o
=
2
π
2
B
n
c
o
K_o=\frac{2\pi}{2^{B_nco}}
Ko=2Bnco2π,
B
n
c
o
B_nco
Bnco为NCO的相位累加字位宽,
K
d
K_d
Kd为下变频、低通滤波、鉴相三部分级联所产生的线性控制增益,本质上是输入到NCO的最大电压值。下变频乘法器的增益为 两路输入信号有符号数据位宽减2(因为有两个符号位),考虑到三角函数相乘产生的
1
2
\frac{1}{2}
21乘法因子,故增益再除以2;低通滤波器的量化增益为其单位脉冲响应
h
(
n
)
h(n)
h(n)量化后最大值与量化前最大值之比;鉴相乘法器在使用符号判决时,其不贡献增益。另外环路滤波器一般设计成不贡献增益。
参考文献:数字化载波同步环路算法的设计与实现_叶准

其中
K
o
K_o
Ko为NCO的增益,NCO的z域传递函数为
N
(
z
)
=
K
o
Z
−
1
1
−
Z
−
1
N(z)=\frac{K_oZ^{-1}}{1-Z^{-1}}
N(z)=1−Z−1KoZ−1
其中
K
d
K_d
Kd为数字鉴相器的增益,其为一个增益为
K
o
K_o
Ko的零阶模块。
设计步骤:
