一元函数的泰勒公式:

接下来,由一元函数有关知识,我们有:

注意这里的dxn中,应把dx看作一个整体,即一个微小变量的n次方
我们接下来推导微分算子:

接下来,把一元泰勒公式转为微分形式:

对于二元函数:

这里蓝色等号处需假设二阶偏导数连续。
类似地:

此外,多元函数的二阶全微分可以表示成自变量增量的二次型,如:

这里中间的矩阵就是黑塞矩阵。三元函数类似,读者可手推一下。
接下来,直接给出二元函数的泰勒公式:若z=f(x,y)在点(x0,y0)的某一邻域内有直到n+1阶连续偏导数,则对于邻域内的(x,y),有:

即二元与一元函数的泰勒公式的微分形式是一样的。我们把证明放到最后,接下来写出矩阵形式的二元函数的泰勒公式的前三项:

这就是含黑塞矩阵的泰勒公式。
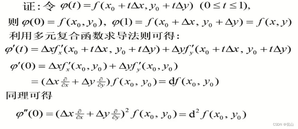
至于证明,这里直接给出二元函数时的证明过程:



本篇讲解到此结束