土壤砷污染是全球性环境问题,在水稻土壤中主要以二甲基砷(DMAs)形态存在,过量积累DMAs会诱发“直穗病”,影响水稻结实。目前尚无有效的防控措施。今天给大家带来的分享是南京农业大学赵方杰教授团队与中科院微生物所东秀珠团队在土壤二甲基砷脱甲基,缓解水稻直穗病相关领域的研究成果。

题目:ISME|宏基因组binning研究揭示土壤微生物群协同互作二甲基砷脱甲基机制
期刊:The ISME Journal
影响因子:11
发表时间:2023年8月
本研究通过对甲基营养型富集培养液进行宏基因组测序,binning得到两株产甲烷菌。研究发现甲基营养型产甲烷马赛球菌(Methanomassiliicoccus)与细菌共营将DMAs脱甲基,向土壤添加产甲烷马赛球菌与梭菌的共培养液可显著降低水稻对DMAs的积累,有效缓解水稻“直穗病”。

研究思路图
甲基营养型富集液由凌恩生物进行宏基因组测序,binning获得了17个产甲烷MAGs,中高质量且污染<2.4%的甲基营养型产甲烷古菌有8个。

研究主要分为三个部分:
1. 分离得到两株甲基营养型产甲烷古菌Methanomassiliicoccusluminyensis(CZDD1)和Methanosarcina mazei(CZ1)
从水稻土中富集不同营养型的产甲烷古菌,其中甲基营养型富集液对DMAs的脱甲基能力最强(图1A),因此对甲基营养型富集液进行宏基因组测序,binning获得了17个产甲烷MAGs,基于16 S rRNA基因同源性分析,发现其中两个MAGs与实验室可培养菌高度同源,分别是Methanomassiliicoccusluminyensis(CZDD1)和Methanosarcina mazei(CZ1),且它们是主要的产甲烷古菌(图1B)。进一步分析发现,CZDD1可以显著加速了富集液中DMAs脱甲基过程,CZ1会抑制DMAs的脱甲基过程。

图1水稻土不同甲烷菌富集培养对DMAs(V)的去甲基化作用
2. 厌氧细菌辅助参与DMAs的脱甲基过程
CZDD1是H2依赖性甲基营养型甲烷菌,H2是一些厌氧细菌产生,因此研究者探究厌氧细菌是否在DMA(V)去甲基化中起作用。发现厌氧细菌如梭菌辅助参与DMAs的脱甲基过程,这些厌氧细菌通过原位发酵产生H2供给CZDD1生长,并且将DMAs(V)还原为DMAs(III),为CZDD1提供脱甲基底物。

图2 甲烷菌与梭状芽孢杆菌共培养DMAs(V)的去甲基化
3. 盆栽试验
采用一份砷甲基化能力强的水稻土进行盆栽试验,将CZDD1+梭菌CZB5共培养液添加至水稻土中,发现可以加速土壤中DMAs的脱甲基过程,降低水稻对DMAs的积累,有效缓解水稻“直穗病”。

图3 添加CZDD1与CZB5共培养液缓解水稻直穗病。A:水稻“直穗病”发病率; B:水稻结实率; C水稻颖壳中DMAs含量
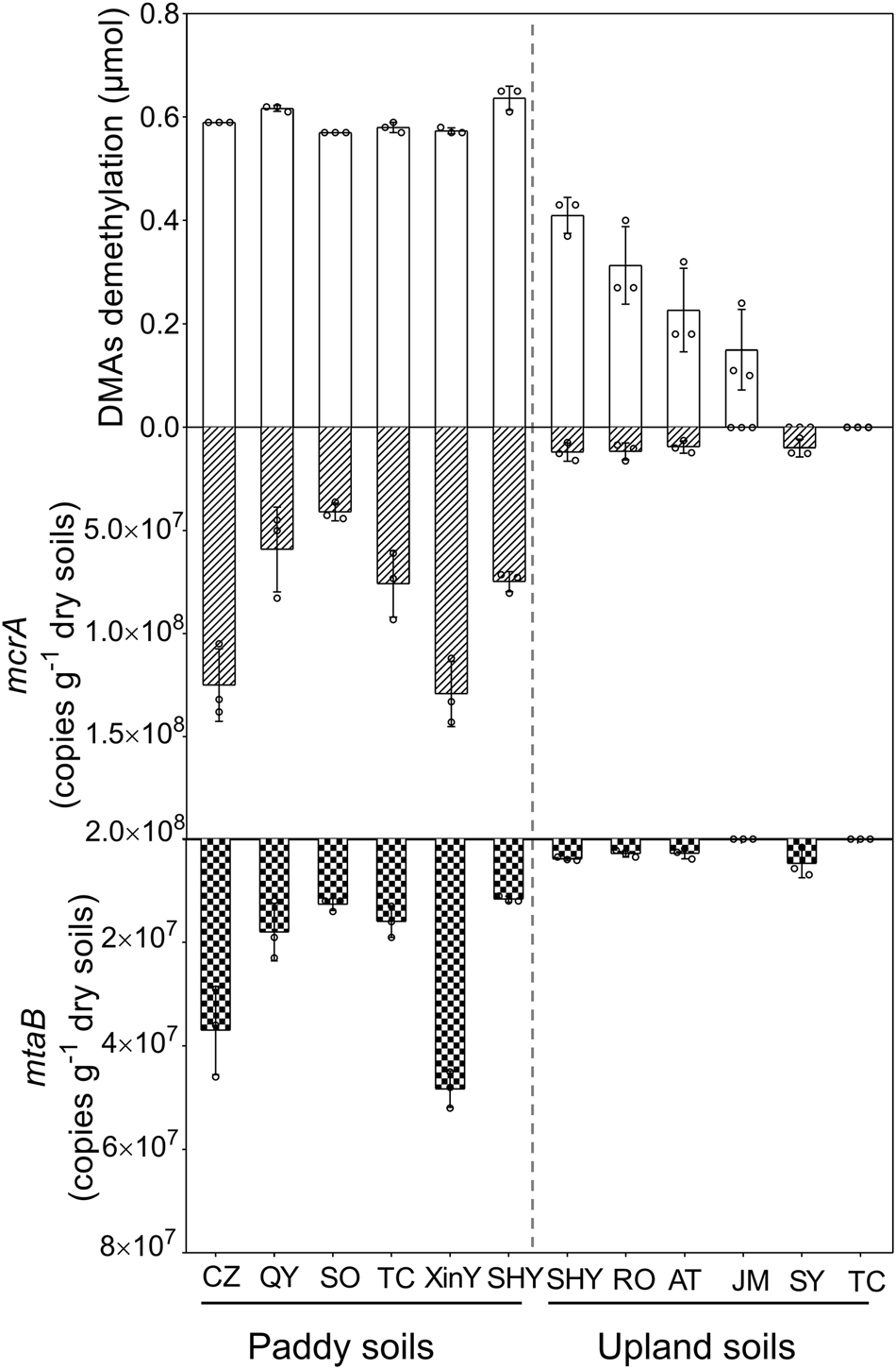
本研究进一步比较了6个水稻土和6个旱地土壤在淹水还原条件下对DMAs脱甲基的能力,发现旱地土壤产甲烷古菌丰度较低,对DMAs脱甲基的能力显著低于水稻土。这可能是旱改水耕作容易出现水稻“直穗病”的重要原因。

图4 水稻土的DMAs(V)去甲基化速率高于旱地土
研究结论
本研究揭示了稻田土壤中DMAs脱甲基的功能微生物及脱甲基途径与机制,为水稻“直穗病”的治疗提供理论依据。
阅读原文
Methylotrophic methanogens and bacteria synergistically demethylate dimethylarsenate in paddy soil and alleviate rice straighthead disease.The ISME Journal,2023