


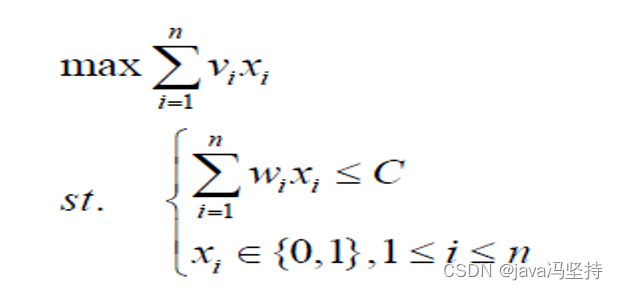
待考虑装包的物品集 和 背包的容量 𝑽𝒂𝒍(𝒊,𝒑),1≤𝑖≤𝑛, 0≤𝑝≤𝐶 表示在背包容量为𝑝,待考虑装包的物品集为{1, 2, …, i}时的最大装入物品价值。Val(n, C) 则表示原问题的最优解。𝑽𝒂𝒍(𝒊,𝒑),1≤𝑖≤𝑛, 0≤𝑝≤𝐶 表示在背包总容量为𝑝,待考虑装包的物品集为{1, 2, …, i} 时的最大装入物品价值。

解释上图:
整个包能放下第i个物品,只有两种可能性:val(i-1,p)在自底向上方法下,Px可以逐步累加,来求解val(i-1,Px)的值。

按物品的两种基本单位来给出表格的行数和列数,而不是根据物品的数目和价值!有枚举的意思,回顾暴力算法章节中剪绳子的问题!
3-6处的9:能放进去,但价值会降低,不腾,不放
3-8处的11:能放进去,但要腾1个,价值会升高,腾,放
3-10处的14:能放进去,但剩余空间够,不必腾,放,价值会升高

按照上面公式以及逻辑计算:
p = 2时,满足p >= (w2 = 2),可以替换,但需要比较 是否值得替换:Val(i-1, p)=Val(1,2)=6,Val(i-1, p - w2)+v2= Val(1,0)+3 = 3,3<;虽然能替换,放了还不如原来的价值,所以不替换。背包放 1 号物品;p = 3时,同上。p = 4时及以后(从逻辑上讲:背包放1号和2号物品,即9 正好,但是也需要计算)。p > (w2 = 2),可以放,但需要比较 是否值得放:Val(i-1, p)=Val(1,4)=6,Val(i-1, p - w2)+v2= Val(1,2)+3 = 9,9>6,则可以放。p = 2时,同上面的 p = 2 的逻辑。放物品1p = 4时,同上面的 p = 4 的逻辑。放物品1,2p = 8时,p >= (w3 = 6),可以替换,但需要比较 是否值得替换:Val(i-1, p)=Val(2,8)=9,Val(i-1, p - w3)+v3= Val(2,2)+5 = 11,11>9,所以可以替换。把n=2拿出来,把n=3放进去,权重相加等于8,价值为11;放物品1,3p = 10时,p >= (w3 = 6),可以替换,但需要比较 是否值得替换 :Val(i-1, p)=Val(2,10)=9,Val(i-1, p - w3)+v3= Val(2,4)+5 = 14。三个都可以放进去,则价值为14。放物品1,2,3p = 2时,同上面的 p = 2 的逻辑。放物品1p = 4时,同上面的 p = 4 的逻辑。放物品1,2P = 7时,p >= (w4 = 5),可以替换,但需要比较 是否值得替换 ,Val(i-1, p)=Val(3,7)=9,Val(i-1, p - w4)+v4= Val(3,2)+4 = 10,因为 9 < 10,所以可以放。放物品1,4P = 8时,p >= (w4 = 5),可以替换,但需要比较 是否值得替换 ,Val(i-1, p)=Val(3,8)=11,Val(i-1, p - w4)+v4= Val(3,3)+4 = 10,因为 11 > 10,所以替换,放物品1,3P = 9时,p >= (w4 = 5),可以替换,但需要比较 是否值得替换 ,Val(i-1, p)=Val(3,9)=11,Val(i-1, p - w4)+v4= Val(3,4)+4 = 13,因为 11 < 13 ,所以替换,放物品1,2,4P = 10时,p >= (w4 = 5),可以替换,但需要比较 是否值得替换 ,Val(i-1, p)=Val(3,10)=14,Val(i-1, p - w4)+v4= Val(3,5)+5 = 14,因为 14 = 14 ,所以替换,存物品1,2,3import java.util.Arrays;
import static java.lang.Math.max;
/**
* DP之0-1背包问题
*/
public class Main3 {
public static int MaxN = 11;
public static int MaxC = 11;
public static void main(String[] args) {
int[] w = {2, 2, 6, 5, 4};
double[] v = {6, 3, 5, 4, 6};
double v1 = binaryKnapsack(w.length, w, v, 10);
System.out.println(v1);
}
public static double binaryKnapsack(int numItems, int[] w, double[] v, int capacity) {
double[][] val = new double[numItems][capacity + 1];
memSet(val, 0, val.length);
for (int i = 1; i < numItems; i++)
for (int j = 0; j <= capacity; j++) {
val[i][j] = val[i - 1][j];
if (j >= w[i])
val[i][j] = max(val[i - 1][j], val[i][j - w[i]] + v[i]);
}
// 打印二维数组
for (int i = 0; i < val.length; i++) {
System.out.println(Arrays.toString(val[i]));
}
return val[numItems - 1][capacity]; // [4][10]
}
public static void memSet(double[][] val, int col, int length) {
for (int i = 0; i < length; i++) {
for (int j = 0; j < val[i].length; j++){
val[i][j]=0;
}
}
}
}
计算 𝑣𝑎𝑙(𝑖,𝑝)的值只需要Val数组中第𝒊−𝟏行中第𝑝个分量之前的数值。
