需要通过训练集
和
求解x,y之间的映射关系


增广权重向量&增广特征向量:在x和
上添加一个b,可将模型中原有的b消除。

模型转换为: 

X矩阵:其中每行为一个样本
Y向量:列向量,每一列为一个结果
以此公式求解w
推导:


条件:
必须存在
若
不存在(特征之间存在共线性),可以采用以下两种方法求解
①SGD(随机数下降) ②降维
结构风险:
,其中
被称为正则化项,
为正则化参数。
使其最小化:
!!!Attention矩阵微积分

多项式曲线拟合

求解过程与线性回归类似

控制过拟合:正则化
惩罚大的系数:
其中
为正则化项,
为正则化系数
控制过拟合:增加训练样本数量

参数w固定时,描述随机变量x的分布情况,称p(x;w)为概率
已知随机变量x时,不同参数w对其分布的影响,称p(x;w)为似然
线性回归中的似然函数:

求一组参数w,使
取最大值(求导)

将参数w也视为随机变量;给定一组数据X,求参数w的分布p(w|X),也称后验分布
贝叶斯公式:
先验:
后验 正比于 似然 X 先验

最大后验估计:
正则化系数
| 平方误差 | 经验风险最小化 | ![]() |
| 结构风险最小化 | ![]() | |
| 概率 | 最大似然估计 | (XX^T)^{-1}Xy |
| 最大后验估计 | ![]() |
模型越复杂,训练错误越低;
但不能以训练错误高低来选择模型;
选择模型时,测试集不可见。
可将训练集分为两部分训练集和验证集,在验证集上挑选一个错误最小的模型。
解决数据稀疏问题(样本过少):交叉验证,将训练集分为S组,每次使用S-1组作为训练集,剩下一组作验证集;取验证集平均性能最好的一组。

赤池信息量准则、贝叶斯信息准则
平衡模型复杂度和期望风险
期望风险:![R(f)=E_{(x,y)~p_r(x,y)}[(y-f(x))^2]=E_{x~p(x)}[E_{y~p(y|x)}[(y-f(x))^2]]](https://1000bd.com/contentImg/2022/08/18/060428216.gif)
最优模型:![f^*(x)=E_{y~p_r(y|x)}[y]](https://1000bd.com/contentImg/2022/08/18/060429092.gif)
期望风险可以分解为:![R(f)=E_{(x,y)~p_y(x,y)}[(y-f*(x)-f(x))^2]](https://1000bd.com/contentImg/2022/08/18/060430149.gif)
![=E_{x~p_r(x)}[(f(x)-f^*(x))^2]+\varepsilon](https://1000bd.com/contentImg/2022/08/18/060430955.gif)
通常由样本分布及噪声引起,无法通过优化模型消除。
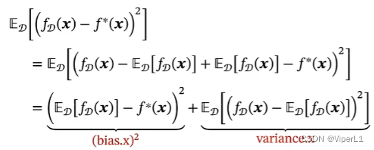
目的:模型
与最优模型
尽可能贴近


由偏差与方差进行模型选择

随着模型复杂度↑,方差↑,偏差↓
不存在某种算法对所有问题都有效
丑小鸭与白天鹅之间的区别和两只白天鹅之间的区别一样大(未给定具体条件的情况下)
若无必要,勿增实体
做出的假设称为归纳偏置,在贝叶斯学习中称为先验
由大数定律,训练集趋于无穷大时,泛化误差趋近于0
