在许多实际应用中,未标记的数据可以很容易和廉价地收集,而获取有标记的数据通常是相当昂贵和耗时的,特别是涉及人工工作。半监督学习尝试利用未标记数据所披露的内在数据分布信息,以提升学习效果,引起了广泛的关注。流形正则化是半监督学习常用方法之一。流形正则化通常将每个实例对视为对象,并约束流形图上的相似实例对应该具有相似的分类输出,因此,它是建立在流形图上的成对平滑性之上的。然而,平滑约束在自然界中可以是点态的(即点态平滑),平滑不应该局限于成对平滑。点态平滑将每个点的行为与其近邻的行为联系起来,实际上,基于聚类假设的半监督学习方法通常会实现点态平滑。已有研究者尝试将点态平滑引入流形正则化,提出了一种基于点态平滑的流形正则化方法:逐点流形正则化方法(PW_MR)。本博文介绍PW_MR相关理论,及其在半监督学习中的应用。
流形假设是半监督学习中最常用的数据分布假设之一,它假设在流形结构上的相似实例应该共享相似的分类输出。基于流形假设,流形正则化(MR)近年来已被深入研究且已被应用在不同的领域。
那么给定一个数据集,已标记数据定义为:

与之相对应的标签:

未标记的数据定义为:

其中每个样本:

且

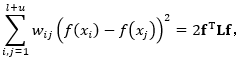
该流形图在整个数据集上的构造为:

其中权重
表示所连接实例对
之间的相似性。基于这样的流形图,基于MR的半监督学习框架表述如下:

其中:f(x)为决策函数,C1和C2均为正则化参数,
是损失函数,例如最小二乘分类器的平方损失(RLSC):

是在再生核希尔伯特空间( Reproducing Kernel Hilbert Space)中保证平滑性的一个正则项。第三项则保证了流形图上的点对之间的光滑性,即相似的实例应该在流形结构上共享相似的分类输出。它可以进一步写成:

其中:

L是由L=D-W给出的图拉普拉斯矩阵,W是图G的权重矩阵,D是由
组成的对角矩阵 。

由表示定理(Representer theorem),决策函数
有如下形式:

其中:
是一个核函数(Mercer kernel)。
流形学习对实例对采用正则化项,以约束流形图上的相似实例对共享相似的分类输出,从而实际实现了点对之间的平滑性。在本节中,作者介绍了一个依据点态平滑度的逐点流形学习框架。通过逐点实现平滑性约束,可以将基于PW_MR的半监督学习框架表述为:

其中:
表示
的领域集;
表示每个实例
周围的局部密度,它可以根据实例与其近邻之间的归一化距离来计算,值越小表示实例周围的分布越密集。但是,当一个实例
在类的重叠区域时,那么根据上述的局部密度,周围局部密度将变得很大。因此,
在上式的第三项中将受到更重视或更大的处罚,但显然这是意料之中的。因此,在计算局部密度
时,应该同时考虑了邻居密度和无监督学习结构,即:

式中:
表示实例
与其邻居
之间的距离,
描述了集群成员关系,或者在某个无监督学习方法如FCM中,
属于单个集群的概率。
的第一部分考虑每个实例
与其近邻之间的归一化距离,值越小表示周围的分布越密集,因此
的值越大,最后在上式中的惩罚越大;第二部分考虑了无监督学习方法的结果,因为无监督学习方法通常可以用来检测分布结构的内在边界,
的值越大,表示成为非边界实例的概率越大 。
对比MR半监督学习框架与PW_MR半监督学习框架:MR学习框架的第三项是对实例对有平滑惩罚的正则项(即考虑成对平滑性);PW_MR学习框架中的第三项考虑了在单个实例上的平滑性(即考虑了点态平滑性),PW_MR通过考虑局部密度来引入每个实例的重要性。我们可以在PW_MR学习框架中进一步重写第三项为:

其中,W是邻域相似度矩阵,组成元素表示如下:

是一个单位矩阵;
是一个对角矩阵且对角分量
。
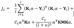
将PW_MR学习框架与最小二乘法结合,形成具有半监督学习能力的逐点流形正则最小二乘法(PW_LapRlsc)。即PW_MR框架中,
我们采用的是平方损失函数。
PW_LapRlsc框架可以表述为:

同理,在应用了表示定理(Representer theorem)后,
转换为如下形式

因此,最优化函数为:

由此可以得出:

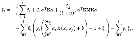
同理,将PW_MR学习框架与支持向量机SV,形成具有半监督学习能力的逐点流形正则支持向量机(PW_LapSVM)方法。
PW_LapSVM框架可以表述为:

基于前述推导,求解公式可以表示为以下形式:

在应用了拉格朗日乘子法进行优化后,可以得到下式:

为拉格朗日乘参数;对上述函数求导:

进一步推算
:

其中
是一个
的矩阵,其中为
为
单位矩阵,且

进而:

因此:

将其替换回上式,简化拉格朗日量,可以得到:

其中:

上述描述了 PW_MR学习框架与最小二乘法、SVM的结合,实际上PW_MR学习框架还可以和其他算法结合,例如:与极限学习结合形成逐点流形正则极限学习机(PW_LapELM)。
思维拓展:PW_MR学习框架只能用于分类吗?答案肯定是:否。完全可以用于回归预测(逐点流形正则最小二乘法就可以用来回归预测啊!);甚至还可以用来做特征提取(将框架中决策函数理解为特征转换方式呗!损失函数替换为信息损失呗,如方差、信息熵...);甚至还可以和神经网络的训练结合,将其纳入神经网络的目标函数,引导神经网络能提取到更好的特征。。。。。