方差是在概率论和统计方差衡量随机变量或一组数据时离散程度的度量。概率论中方差用来度量随机变量和其数学期望(即均值)之间的偏离程度。统计中的方差(样本方差)是每个样本值与全体样本值的平均数之差的平方值的平均数。在许多实际问题中,研究方差即偏离程度有着重要意义。
方差计算公式:

最左边是总体方差,X为变量,X左边变量为总体均值,N为总体例数(指总体个数)。
例如: 1、2、3,用这3个算出方差。
1、先算出平均数:
(1+2+3)/3 = 2
2、根据方差公式:
( (1-2)^2 + (2-2) ^2 + (2-3)^2 ) / 3
3、结果:2/3
varp(number1,number2……)
VARIANCE(expr)

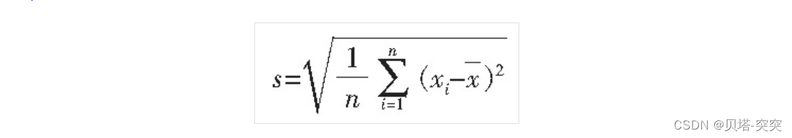
标准差分为: 总体标准偏差和样本标准偏差
计算公式:

STDEVP(number1,number2……)
STD(expr)


STDEV(number1,number2……)
STDDEV_SAMP(expr)

样本标准偏差是对某个数据中的部分数据线进行分析,而总体标准偏差是对整个数据进行分析。分析的范围广度不同。