对于指标已经存在一定的客观数值可以作为评价标准时,层次分析法来进行对某一指标的评分就已经不适用了,此时可以使用TOPSIS方法进行评价。
①逐一判断评价指标的类型并进行正向化:评价指标类型可以分为极大型指标(效益型指标)、极小型指标(成本型指标)、中间型指标和区间型指标。极大型指标的数值越大越好,极小型指标的数值越小越好,中间型指标的数值越接近某个值越好,区间型指标的数值在某个区间内最好。正向化就是将不同类型的指标统一转换成极大性指标,不同类型指标的转换方法不同:
1.极小型指标转换公式:正向化指标=该组数据中该指标最大值-指标值。
2.中间型指标转换公式:

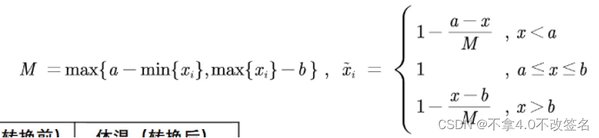
3.区间型指标转换公式:(设最佳区间是[a,b])

建立一个矩阵,矩阵的每一行表示一个评价对象,矩阵的每一列表示一个指标。将经过正向化处理后的指标数据填入对应的矩阵位置中:第i行第j列的数据表示第i个评价对象的第j个指标的得分。该矩阵称为正向化矩阵。
②将上一步所得到的正向化矩阵进行标准化以消除量纲的影响。标准化的方法为:将每一个元素除以其所在列的元素平方和即可得到标准化后的元素。经过该步骤得到的矩阵称为标准化矩阵。
③求出标准化矩阵的最大向量和最小向量:在标准化矩阵中的每一列取出最大值所构成的向量称为最大向量;同理在标准化矩阵中的每一列取出最小值构成的向量称为最小向量。
④逐一计算每一个评价对象到最大向量和最小向量的距离并求出总得分:标准化矩阵中每一行的元素所构成的向量与最大向量和最小向量的欧氏距离即为所求。设最大距离为DMax,最小距离为DMin,则每个评价对象的得分计算公式为:DMin/(DMax+DMin)。
备注:对于不同指标权重不同的情况,计算距离时需要带上权重一起计算,方法如下。权重可以通过对指标使用层次分析法获得。

⑤对上一步求出的各个方案的得分进行归一化,使得所有方案的得分之和为1。
熵权法的作用是只需要根据各个指标给定的原始数据就可以求出各个指标所对应的评价权重。相对于层次分析法,其客观性更强。熵权法的基本原理是:变化越剧烈的指标数据对应的信息量越大,则其权重也应该更高。
①对指标数据进行正向化,具体方法与TOPSIS方法的①步骤完全相同。
②对正向化矩阵进行判定:如果矩阵中不存在负元素,则使用和TOPSIS方法②步骤完全相同的方法进行标准化;如果矩阵中存在负元素,则使用下面的方法进行标准化:

③求出信息熵计算中需要使用的概率:将标准化矩阵中的每一个元素除以其所在列的元素和即可得到每一个元素所对应的概率,并得到概率矩阵。
④使用下列公式计算每一个指标的信息熵,其中n表示评价对象的个数。

接着用1-信息熵,求出每一个指标对应的信息效用值。最后对各个指标的信息效用值进行归一化,即可求出不同指标对应的权重大小。
备注1:熵权法最终只能求出不同指标的权重大小,并没有求出各个方案的最终得分,最终得分仍然需要通过TOPSIS方法进行求出。
备注2:由于熵权法的科学依据仍然不是非常高,因此只有在比赛时才推荐使用熵权法代替层次分析法,但是发表论文时不推荐使用熵权法。