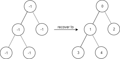
给出一个满足下述规则的二叉树:
root.val == 0treeNode.val == x 且 treeNode.left != null,那么 treeNode.left.val == 2 * x + 1treeNode.val == x 且 treeNode.right != null,那么 treeNode.right.val == 2 * x + 2现在这个二叉树受到「污染」,所有的 treeNode.val 都变成了 -1。
请你先还原二叉树,然后实现 FindElements 类:
FindElements(TreeNode* root) 用受污染的二叉树初始化对象,你需要先把它还原。bool find(int target) 判断目标值 target 是否存在于还原后的二叉树中并返回结果。示例 1:

输入: ["FindElements","find","find"] [[[-1,null,-1]],[1],[2]] 输出: [null,false,true] 解释: FindElements findElements = new FindElements([-1,null,-1]); findElements.find(1); // return False findElements.find(2); // return True
示例 2:

输入: ["FindElements","find","find","find"] [[[-1,-1,-1,-1,-1]],[1],[3],[5]] 输出: [null,true,true,false] 解释: FindElements findElements = new FindElements([-1,-1,-1,-1,-1]); findElements.find(1); // return True findElements.find(3); // return True findElements.find(5); // return False
示例 3:

输入: ["FindElements","find","find","find","find"] [[[-1,null,-1,-1,null,-1]],[2],[3],[4],[5]] 输出: [null,true,false,false,true] 解释: FindElements findElements = new FindElements([-1,null,-1,-1,null,-1]); findElements.find(2); // return True findElements.find(3); // return False findElements.find(4); // return False findElements.find(5); // return True
提示:
TreeNode.val == -120[1, 10^4] 之间find() 的总次数在 [1, 10^4] 之间0 <= target <= 10^6
- /**
- * Definition for a binary tree node.
- * public class TreeNode {
- * int val;
- * TreeNode left;
- * TreeNode right;
- * TreeNode() {}
- * TreeNode(int val) { this.val = val; }
- * TreeNode(int val, TreeNode left, TreeNode right) {
- * this.val = val;
- * this.left = left;
- * this.right = right;
- * }
- * }
- */
- class FindElements {
- private final Set<Integer> s=new HashSet<>();
-
- public FindElements(TreeNode root) {
- dfs(root,0);
- }
-
- public boolean find(int target) {
- return s.contains(target);
- }
- private void dfs(TreeNode node,int val){
- if(node==null){
- return ;
- }
- s.add(val);
- dfs(node.left,val*2+1);
- dfs(node.right,val*2+2);
- }
- }
-
- /**
- * Your FindElements object will be instantiated and called as such:
- * FindElements obj = new FindElements(root);
- * boolean param_1 = obj.find(target);
- */
