正文开始前给大家推荐个网站,前些天发现了一个巨牛的人工智能学习网站,通俗易懂,风趣幽默,忍不住分享一下给大家。点击跳转到网站。
今天继续给大家带来链表的相关练习题。
这道题来自力扣网,链接给大家奉上:
https://leetcode.cn/problems/intersection-of-two-linked-lists/submissions/483011644/
题目描述:
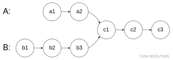
给你两个单链表的头节点 headA 和 headB ,请你找出并返回两个单链表相交的起始节点。如果两个链表不存在相交节点,返回 null 。
图示两个链表在节点 c1 开始相交:

题目数据 保证 整个链式结构中不存在环。
注意,函数返回结果后,链表必须 保持其原始结构 。
自定义评测:
评测系统 的输入如下(你设计的程序 不适用 此输入):
intersectVal - 相交的起始节点的值。如果不存在相交节点,这一值为 0
listA - 第一个链表
listB - 第二个链表
skipA - 在 listA 中(从头节点开始)跳到交叉节点的节点数
skipB - 在 listB 中(从头节点开始)跳到交叉节点的节点数
评测系统将根据这些输入创建链式数据结构,并将两个头节点 headA 和 headB 传递给你的程序。如果程序能够正确返回相交节点,那么你的解决方案将被 视作正确答案 。
示例 1:

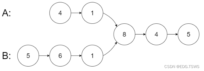
输入:intersectVal = 8, listA = [4,1,8,4,5], listB = [5,6,1,8,4,5], skipA = 2, skipB = 3
输出:Intersected at ‘8’
解释:相交节点的值为 8 (注意,如果两个链表相交则不能为 0)。
从各自的表头开始算起,链表 A 为 [4,1,8,4,5],链表 B 为 [5,6,1,8,4,5]。
在 A 中,相交节点前有 2 个节点;在 B 中,相交节点前有 3 个节点。
— 请注意相交节点的值不为 1,因为在链表 A 和链表 B 之中值为 1 的节点 (A 中第二个节点和 B 中第三个节点) 是不同的节点。换句话说,它们在内存中指向两个不同的位置,而链表 A 和链表 B 中值为 8 的节点 (A 中第三个节点,B 中第四个节点) 在内存中指向相同的位置。
示例 2:

输入:intersectVal = 2, listA = [1,9,1,2,4], listB = [3,2,4], skipA = 3, skipB = 1
输出:Intersected at ‘2’
解释:相交节点的值为 2 (注意,如果两个链表相交则不能为 0)。
从各自的表头开始算起,链表 A 为 [1,9,1,2,4],链表 B 为 [3,2,4]。
在 A 中,相交节点前有 3 个节点;在 B 中,相交节点前有 1 个节点。
示例 3:

输入:intersectVal = 0, listA = [2,6,4], listB = [1,5], skipA = 3, skipB = 2
输出:null
解释:从各自的表头开始算起,链表 A 为 [2,6,4],链表 B 为 [1,5]。
由于这两个链表不相交,所以 intersectVal 必须为 0,而 skipA 和 skipB 可以是任意值。
这两个链表不相交,因此返回 null 。
提示:
listA 中节点数目为 m
listB 中节点数目为 n
1 <= m, n <= 3 * 104
1 <= Node.val <= 105
0 <= skipA <= m
0 <= skipB <= n
如果 listA 和 listB 没有交点,intersectVal 为 0
如果 listA 和 listB 有交点,intersectVal == listA[skipA] == listB[skipB]
思路:
首先,我们需要确认两个链表是否相交,这个比较简单,我们遍历两个链表到最后一个节点,看两个节点是否相等即可,如果相等,就代表这两个链表相交,不相等就代表两个链表不相交。这就是第一步的思路。
之后就很好想了,我们算出两个链表的长度,得到相对差值k,让长的先走k步,之后两个链表一起走,相等的时候就代表到了相交节点。
struct ListNode *getIntersectionNode(struct ListNode *headA, struct ListNode *headB) {
struct ListNode* ListA=headA;
struct ListNode* ListB=headB;
int lenA=1;
int lenB=1;
while(ListA->next!=NULL)//A链表遍历至最后
{
lenA++;
ListA=ListA->next;
}
while(ListB->next!=NULL)//B链表遍历至最后
{
lenB++;
ListB=ListB->next;
}
if(ListA!=ListB)//如果两个链表最后节点不相等代表不相交则返回空指针。
{
return NULL;
}
int n=abs(lenA-lenB);//设n为相对差值
struct ListNode* longlist=headA;//假设A为长链表,B为短链表
struct ListNode* shortlist=headB;
if(lenA<lenB)//若假设错误,则B为长链表,A为短链表
{
longlist=headB;
shortlist=headA;
}
while(n--)//长链表先走n步
{
longlist=longlist->next;
}
while(longlist!=shortlist)//长锻链表一起走,相等时停止
{
longlist=longlist->next;
shortlist=shortlist->next;
}
return longlist;//返回此时的节点,即为相交节点。
}
在这里我们并不知道哪个链表长哪个链表短,所以我们假设A链表长,如果假设错误,那么将长链表换位B链表即可,之后再进行走n步操作,再长短链表一起走即可找到相交节点了。(若还有不理解地方请具体看代码注释。)
本题依然取自力扣网,题目链接奉上:
https://leetcode.cn/problems/linked-list-cycle/description/
给你一个链表的头节点 head ,判断链表中是否有环。
如果链表中有某个节点,可以通过连续跟踪 next 指针再次到达,则链表中存在环。 为了表示给定链表中的环,评测系统内部使用整数 pos 来表示链表尾连接到链表中的位置(索引从 0 开始)。注意:pos 不作为参数进行传递 。仅仅是为了标识链表的实际情况。
如果链表中存在环 ,则返回 true 。 否则,返回 false 。
示例 1:

输入:head = [3,2,0,-4], pos = 1
输出:true
解释:链表中有一个环,其尾部连接到第二个节点。
示例2:

输入:head = [1,2], pos = 0
输出:true
解释:链表中有一个环,其尾部连接到第一个节点。
示例3:

输入:head = [1], pos = -1
输出:false
解释:链表中没有环。
提示:
链表中节点的数目范围是 [0, 104]
-105 <= Node.val <= 105
pos 为 -1 或者链表中的一个 有效索引 。
思路:
这道题思路十分明确,仅判断链表是否有环即可,所以我们用快慢指针来遍历就好,如果快指针等于空指针了,说明该链表不带环,返回空指针即可,若快慢指针遍历至相等的时候,则说明该链表带环。
bool hasCycle(struct ListNode *head) {
struct ListNode* fast=head;
struct ListNode* slow=head;
while(fast&&fast->next)//快指针遍历
{
fast=fast->next->next;
slow=slow->next;
if(fast==slow)//若碰到快慢指针相等时,则说明一定是环形链表,因为慢指针等于快指针时,快指针一定遍历一遍了。
{
return true;
}
}
return false;//快指针一定比慢指针先遍历完成,若返回false,则说明快指针或者快指针的next为空指针
}
思路十分简单,代码也十分简单,注释也给大家奉上了。
今天的分享就到此为止,谢谢大家。