本节分析VIO初始化部分
VINS-Mono/Fusion代码学习系列:
从零学习VINS-Mono/Fusion源代码(一):主函数
从零学习VINS-Mono/Fusion源代码(二):前端图像跟踪
从零学习VINS-Mono/Fusion源代码(三):IMU预积分公式推导
从零学习VINS-Mono/Fusion源代码(四):误差卡尔曼滤波
从零学习VINS-Mono/Fusion源代码(五):VIO初始化
从零学习VINS-Mono/Fusion源代码(六):后端优化
提供初始值(良好的初始值,能够避免优化过程中系统陷入局部最小,减少迭代次数,降低计算量)
初始化的变量:
位姿、速度、零偏,硬件外参、地图点

其中,在没有先验条件的情况下,加速度计零偏和平移外参是比较难求解的,加计bias受到重力干扰,难以分离.
因此,平移外参一般是事先测量得到,加速度计零偏就设为0,在后续优化中进行处理.
estimator_node.cpp中找到主函数main(),主函数与光流部分类似,定义节点,设置参数,接收topic.

int main(int argc, char **argv)
{
ros::init(argc, argv, "vins_estimator");
ros::NodeHandle n("~");
ros::console::set_logger_level(ROSCONSOLE_DEFAULT_NAME, ros::console::levels::Info);
readParameters(n);
estimator.setParameter();
#ifdef EIGEN_DONT_PARALLELIZE
ROS_DEBUG("EIGEN_DONT_PARALLELIZE");
#endif
ROS_WARN("waiting for image and imu...");
registerPub(n);
ros::Subscriber sub_imu = n.subscribe(IMU_TOPIC, 2000, imu_callback, ros::TransportHints().tcpNoDelay());
ros::Subscriber sub_image = n.subscribe("/feature_tracker/feature", 2000, feature_callback);//前端光流结果
ros::Subscriber sub_restart = n.subscribe("/feature_tracker/restart", 2000, restart_callback);//接收前端重启命令
ros::Subscriber sub_relo_points = n.subscribe("/pose_graph/match_points", 2000, relocalization_callback);//回环检测fast_relocalization响应
std::thread measurement_process{process};
ros::spin();
return 0;
}
使用readParameters(n)读取yaml文件中估计器迭代计算参数、IMU参数、旋转平移外参,以及时间延迟参数.
estimator.setParameter() 估计器外参预设
本质上就是一个外参的赋值过程,然后设置特征点的置信度,默认在虚拟相机下,特征点投影后的坐标差为1.5个像素.
void Estimator::setParameter()
{
for (int i = 0; i < NUM_OF_CAM; i++)
{
tic[i] = TIC[i];
ric[i] = RIC[i];
}
f_manager.setRic(ric);
//特征点置信度
ProjectionFactor::sqrt_info = FOCAL_LENGTH / 1.5 * Matrix2d::Identity();
ProjectionTdFactor::sqrt_info = FOCAL_LENGTH / 1.5 * Matrix2d::Identity();
td = TD;
}
IMU_callback()
IMU回调函数主要完成两个任务:
消息存入buffer的过程中用到了进程锁,避免数据放入和取出发生访问冲突,具体概念参见:
[c++11]多线程编程(六)——条件变量(Condition Variable)
void imu_callback(const sensor_msgs::ImuConstPtr &imu_msg)
{
if (imu_msg->header.stamp.toSec() <= last_imu_t)
{
ROS_WARN("imu message in disorder!");
return;
}
last_imu_t = imu_msg->header.stamp.toSec();
m_buf.lock();
imu_buf.push(imu_msg);
m_buf.unlock();
con.notify_one();
last_imu_t = imu_msg->header.stamp.toSec();
{
std::lock_guard<std::mutex> lg(m_state);
predict(imu_msg);
std_msgs::Header header = imu_msg->header;
header.frame_id = "world";
if (estimator.solver_flag == Estimator::SolverFlag::NON_LINEAR)
pubLatestOdometry(tmp_P, tmp_Q, tmp_V, header);
}
}
feature_callback就是把前端光流数据丢进buffer
restart_callback做了一个状态器复位

estimator.processImage函数中完成了VIO初始化和后端优化求解,本节只讨论VIO初始化任务:

把当前帧的特征点信息送入f_manager中进行维护,通过视差判断关键帧.
VINS特征点维护方式:
FeatureManager这个类中,有一项list< FeaturePerId > feature,用来维护下图中每一个特征点id对应的属性.

关键帧筛选条件:
如果倒数第二帧是关键帧,去掉最老帧;如果倒数第二帧不是关键帧,就把它去掉.
只针对于 ESTIMATE_EXTRINSIC=2,才需要在初始化阶段计算旋转外参量.
思想就是利用k到k+n时刻中,各相邻两帧之间的旋转关系,构建超定方程求解.
这个旋转关系有两种途径得到:第一种是IMU预积分,第二种是特征点对极约束.
以k到k+1时刻为例,将外参 q c b q_{cb} qcb作为桥梁,可以构建下面这个等式:
对于k到k+n时刻:
然后就构建了Ax=0这样的问题,通过SVD奇异值分解来求解.
initialStructure函数中完成的任务:检查imu能观性、SFM纯视觉三维重建、对所有帧pnp、视觉惯性对齐
假设滑窗中有11帧,先找一个枢纽帧(假设第4帧),要求它离最后一帧尽可能远(目的是避免纯旋转情况,便于求解t),通过对极约束求解枢纽帧和最后一帧之间的相对位姿;同时,距离太远会导致两帧共同观测到的特征点数目少,所以要做一个权衡。
然后,根据得到的位姿,通过三角化恢复观测到的特征点的3D世界坐标.
利用已经恢复的3D点,通过pnp(3D-2D)来恢复第5-9帧的图像帧相对位姿,在这个过程中也可以三角化出更多的3D点.
同样地,利用pnp求解第3-0帧的图像帧位姿.

然后,做一个global BA,来调整这些位姿和3D点.
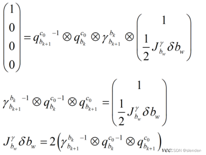
solveGyroscopeBias求解陀螺零偏

理论上为单位四元数,取出虚部构造Ax=b问题,求解 δ b w \delta {b_w} δbw:

LinearAlignment求解速度、尺度、重力方向
论文中指出的待求解量:

构造的观测方程:

推导一下这个方程怎么来的:
首先把式(5)换到
c
0
{c_0}
c0系下面去(就是枢纽帧),然后带入式(14).


①平移预积分量构成方程:
②旋转预积分量构成方程: