1、绿色债券数据集
1、数据来源:wind
2、时间跨度:2016.01-2021.11年
3、区域范围:全国
4、指标说明:
部分指标如下:

数据截图如下:

2、历史新发债券数据库
1、数据来源:wind
2、时间跨度:2010-2021年
3、区域范围:全国
4、指标说明:与从wind一级市场导出的历史新发债数据库(含已到期)一致
包含一般企业债、一般公司债、一般中期票据
部分数据如下:

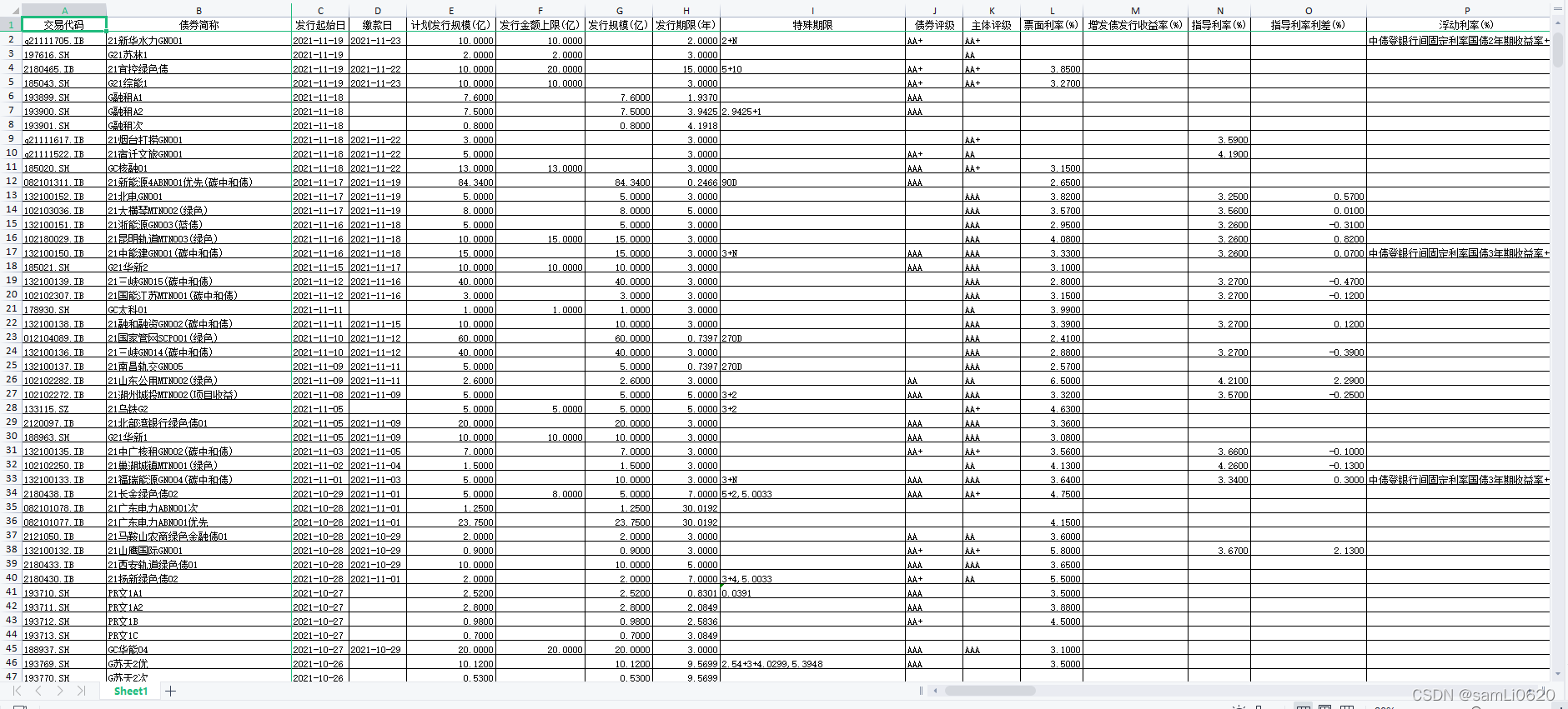
3、历史发行的绿色债券数据
1、数据来源:wind
2、时间跨度:2014-2021年
3、区域范围:全国
4、指标说明:
在wind-债券-一级市场-债券类型选择绿色债券导出
包含如下指标:
| 交易代码 |
| 债券简称 |
| 发行起始日 |
| 缴款日 |
| 计划发行规模(亿) |
| 发行金额上限(亿) |
| 发行规模(亿) |
| 发行期限(年) |
| 特殊期限 |
| 债券评级 |
| 主体评级 |
| 票面利率(%) |
| 增发债发行收益率(%) |
| 指导利率(%) |
| 指导利率利差(%) |
| 浮动利率(%) |
| 利率类型 |
| 付息频率 |
| 公告日期 |
| 发行截止日 |
| 上市日期 |
| 上市地点 |
| 起息日 |
| 到期日 |
| 债券代码列表 |
| 募集资金用途 |
| 特殊条款 |
| 增信方式 |
| 评级机构 |
| 债券全称 |
| 发行人简称 |
| 发行人全称 |
| 发行人Wind行业(一级) |
| 发行人Wind行业(二级) |
| 是否上市公司 |
| 发行人企业性质 |
| 发行人省份 |
| 发行人城市 |
| 担保人 |
| 发行时担保人评级 |
| 担保人企业性质 |
| 担保条款 |
| 主承销商 |
| 承销金额主承分摊 |
| 副主承销商 |
| 簿记管理人 |
| 发行方式 |
| 承销方式 |
| 发行价格 |
| 招标标的 |
| 招标方式 |
| 投标区间 |
| 招标日 |
| 招标时间 |
| 招标场所 |
| 中标价位 |
| 中标区间 |
| 认购倍数 |
| 加权利率 |
| 全场倍数 |
| 边际利率 |
| 边际倍数 |
| 发行费率(%) |
| 承销团成员 |
| 上网发行数量 |
| 上网认购代码 |
| Wind债券类型(二级) |
| 次级债或混合资本债 |
| 是否发行失败 |
| 是否城投债 |
| 是否增发 |
| 是否跨市场 |
| 面值 |
| 地方政府债新增金额(万) |
| 地方政府债置换金额(万) |

4、DCM定价估值
1、数据来源:wind
2、时间跨度:2016-2022年
3、区域范围:全国
4、指标说明:

4、中债国开债到期收益率
1、数据来源:wind
2、时间跨度:2002-2022年
3、区域范围:全国
4、指标说明:
部分数据如下

相关研究:
[1]万志宏,曾刚. 国际绿色债券市场:现状,经验与启示[J]. 金融论坛, 2016, 21(2):7. [2]何平, 金梦. 信用评级在中国债券市场的影响力[J]. 金融研究, 2010(4):14.
[3]宋立. 市政收益债券:解决地方政府债务问题的重要途径[J]. 管理世界, 2004(2):8.
[4]曹明弟, 王文. 绿色债券发展前景[J]. 中国金融, 2015(10):3.
download链接:债券数据集资料.zip-数据集文档类资源-CSDN下载